
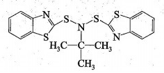
Chemical Name: N,N-bis(1,3-benzothiazol-2-ylsulfanyl)-2-methylpropan-2-amine
Molecular Formula:C18H17N3S4
Structure:

Molecular Weight: 403.61
CAS NO: 3741-80-8
Specification:
|
Item |
Powder |
|
Appearance |
White or Light-yellow powder |
|
Initial Melting Point |
≥12 8℃ |
|
Loss on Drying |
≤0.50 % |
|
Ash |
≤0.50 % |
|
Residue on 150μm |
≤0. 10 |
Applications : TBSI will not generate the carcinogenic substance- nitrosamines which be known more secure from NOBS, DIBS and DZ under the same operation temperature. It can be used in NR, SBR, Butadiene rubber and IR,. Especially apply to the furnace black sizing material with strong acid, showing the much better activity than CBS and NOBS.
Package: 25kg plastic woven bag, paper with plastic film bag, kraft paper bag or jumbo bag
Storage: The product should be stored in the dry and cooling place with good ventilation avoiding exposure of the packaged product to direct sunlight. The validity is 1years.

Tel:86-371-63673288
86-371-63659198
86-371-63679318
86-371-86158658
Fax:86-371-63659728
Email: sale@doublevigour.com
Address1502, Building5, Jinyin Modern City, Intersection of Guangdian South Road and Jingsan Road, Jinshui District, Zhengzhou City, Henan Province
Factory: Jijiashan Industrial Park, Heshan District, Hebi City, Hena, China